
    公示时间:2018年3月23日至3月30日
    联系电话:010-82090776
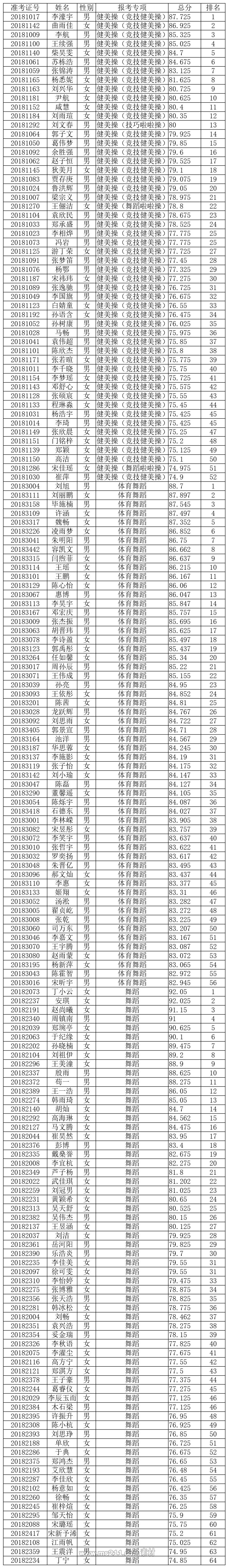
    专业合格线:健美操74.9分、舞蹈74.85分、体育舞蹈82.945分。
附件:首都体育学院2018年舞蹈表演专业考试(校考)合格考生名单

(文章转载请标明:ms211中国美术高考网)
        
    公示时间:2018年3月23日至3月30日
    联系电话:010-82090776
    专业合格线:健美操74.9分、舞蹈74.85分、体育舞蹈82.945分。
附件:首都体育学院2018年舞蹈表演专业考试(校考)合格考生名单

(文章转载请标明:ms211中国美术高考网)
相关热词搜索:考生 首都 舞蹈 2018年首都体育学院舞蹈表演专业合格考生名单
